Attachment 'Using extract_saptdft.py'
Download 1 $ ls
2 globalminconfig_ordered.geom water2_11.clt water2_1_dHF water2_3_dHF water2_5_dHF water2_7_dHF water2_9_dHF
3 water2_1 water2_11_dHF water2_2 water2_4 water2_6 water2_8 water2_deltahf_scan.clt
4 water2_10 water2_12 water2_2.clt water2_4.clt water2_6.clt water2_8.clt water2_saptdft_scan.clt
5 water2_10.clt water2_12.clt water2_2_dHF water2_4_dHF water2_6_dHF water2_8_dHF
6 water2_10_dHF water2_12_dHF water2_3 water2_5 water2_7 water2_9
7 water2_11 water2_1.clt water2_3.clt water2_5.clt water2_7.clt water2_9.clt
8 $
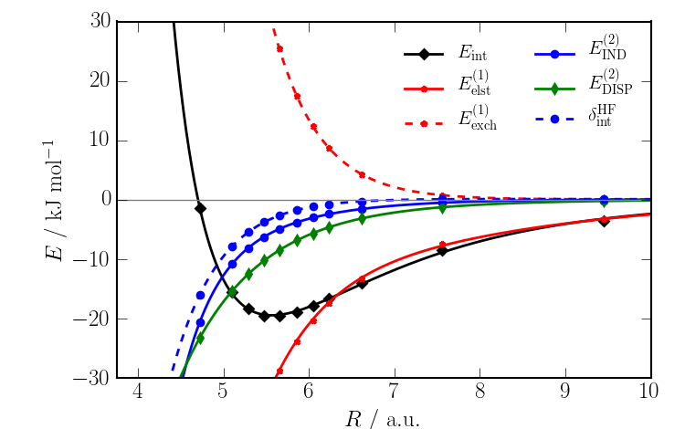
9 $ extract_saptdft.py water2_*
10 kJ/mol elst exch ind exind dHF disp exdisp total
11 water2_1 -79.88525 138.51670 -67.90425 47.21620 -16.06246 -30.85849 7.53036 -1.44719
12 water2_10 -7.49606 0.72324 -0.70207 0.12027 0.05605 -1.35946 0.07266 -8.58537
13 water2_11 -3.23829 0.02026 -0.18011 0.00285 0.04701 -0.26896 0.00266 -3.61458
14 water2_12 -1.70827 0.00057 -0.05517 0.00007 0.02144 -0.07633 0.00010 -1.81760
15 water2_2 -51.26629 69.87602 -32.14671 21.32642 -7.94215 -19.72405 4.31327 -15.56349
16 water2_3 -41.66366 49.51204 -22.46926 14.28243 -5.49456 -15.80083 3.22541 -18.40841
17 water2_4 -34.22959 35.03832 -15.85054 9.54977 -3.79562 -12.67985 2.39703 -19.57049
18 water2_5 -28.83334 25.42702 -11.56678 6.57399 -2.69150 -10.36566 1.81364 -19.64263
19 water2_6 -23.90075 17.47970 -8.10563 4.25782 -1.78447 -8.21776 1.30445 -18.96665
20 water2_7 -20.30716 12.32561 -5.89850 2.84873 -1.20097 -6.64016 0.95647 -17.91598
21 water2_8 -17.43745 8.68310 -4.35104 1.90798 -0.79830 -5.38078 0.69897 -16.67752
22 water2_9 -13.22459 4.29450 -2.44350 0.85858 -0.31987 -3.56681 0.36991 -14.03178
Attached Files
To refer to attachments on a page, use attachment:filename, as shown below in the list of files. Do NOT use the URL of the [get] link, since this is subject to change and can break easily.You are not allowed to attach a file to this page.
